[福州二检]2023年2月福州市普通高中毕业班质量检测英语答案,目前大联考答案网已经汇总了[福州二检]2023年2月福州市普通高中毕业班质量检测英语答案的各科答案和试卷,更多全国100所名校答案请关注本网站。
![[福州二检]2023年2月福州市普通高中毕业班质量检测英语答案图片](http://daanpics.oss-cn-beijing.aliyuncs.com/2023/02/3182055963641817888.png!caonima)
19.解:(1)由正弦定理有2a2 b2=2c2,从而c2=a2 则cosC=a2 b-c2-b。sinB2abAa4sin A4sin Acos C sin B=sin(A C)=sin Acos C cos Asin C,即有3 sin Acos C=cos Asin C,tanC=3tanA…6分(2)(1)tanC=3tan4,tan B=-tan(d C)=tan 4 tanC4tan Atan Atan C-1 3tan2 4-1则1 2 3=1 3tan24-1 1=3(tan24 0…10分tan A tan B tan C tan 4 2tan Atan 4 2tan A品Bic引m 如4小m4可A3 2当且仅当tanA=即tanA=L,A=元时取等。tan A423所以的最小值为3.…12分tan Atan Btan C
![[福州二检]2023年2月福州市普通高中毕业班质量检测英语答案图片](http://daanpics.oss-cn-beijing.aliyuncs.com/2023/02/4481317967220283940.png!caonima)
![[福州二检]2023年2月福州市普通高中毕业班质量检测英语答案图片](http://daanpics.oss-cn-beijing.aliyuncs.com/2023/02/3216201728645625741.png!caonima)
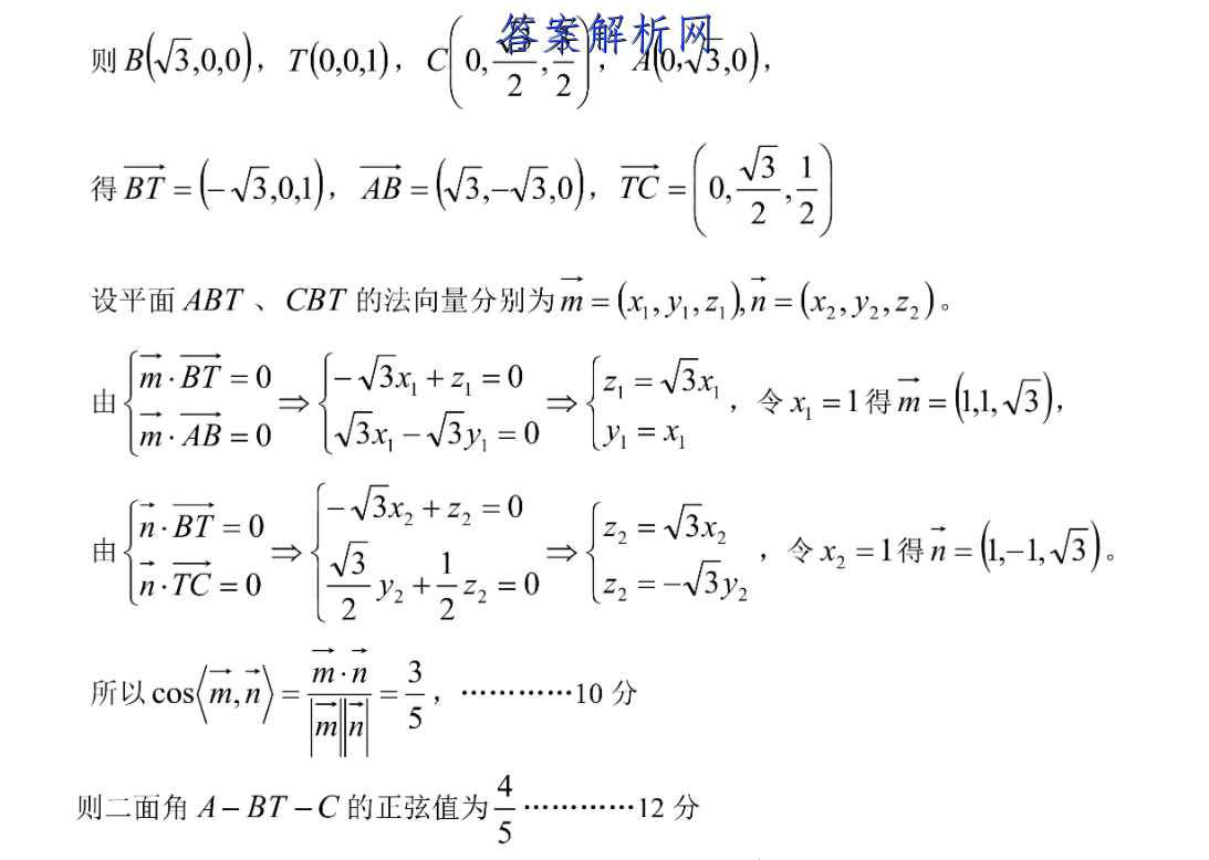
18解:(1)由题意,SO=3,OA=OB=V3,取OA的中点D,连接CD,BD。则CD∥0,且CD=1s0=×3=3222.·SO⊥平面AOB,∴.CD⊥平面AOB,∠CBD即为直线BC与平面AOB所成角..sin=CD 6从而BC=√6,由勾股定理得BD=15BC 42在△BOD中,OB2 OD2=3 二= 3=15=BD2,所以0B1013分44.SO⊥平面AOB,∴.SO⊥OB,SOB⊥OA由OB⊥SO三OB⊥平面SOA,所以BO⊥SA…6分(2)以O为原点,OB,OA,OS分别为x,y,z轴建立空间直角坐标系则l5ao.raa.c0号4a58所-(、5叭.西-小.元05设平面ABT、CBT的法向量分别为m=(x,,乙)n=(x2,y2,2)由mB7=0-5x =-0→3=5x,令=1得m=1,5mB=05-5-0=xnB7=0由元=0「5, =0名=5,令=1得n=-l5)所以cos(m司m.n3…10分4则二面角A-BT-C的正弦值为一…12分

相关文章
![[福州二检]2023年2月福州市普通高中毕业班质量检测生物试题答案](/uploads/allimg/230228/-1_022P013092436.jpg)
![[福州二检]2023年2月福州市普通高中毕业班质量检测物理试题答案](/uploads/allimg/230228/-1_022P012534562.jpg)
![[福州二检]2023年2月福州市普通高中毕业班质量检测物理答案](/uploads/allimg/230228/-1_022P0123SO4.jpg)
栏目最新

随机推荐
热门标签